written by La Scapigliata
“The policy is a Stonewall mess and even though I truly believe the actual staff would take a sensible approach – someone on a mission could use that policy to compromise the Hospice. Not to mention it is so heavily biased – the other protected characteristics get a one liner while gender identity has pages dedicated to it!“
I was given this copy of an Equality and Diversity Policy by an employee of one of the NHS hospices in the UK.
I had sincerely hoped that I would never have to write this post, yet here we are.
As a young doctor, I worked in palliative care for a couple of years and that experience left me humbled and haunted. Hospices are places that most people hope to never have to visit. The mere thought of one of our loved ones dying would leave most of us shaken up and very upset. Yet, hospices often struggle to find available beds to meet demand, as thousands of patients are admitted for end-of-life care every year.
In my experience, in UK hospices, patients are treated with the utmost dignity, kindness and professionalism. It would take a lot more than a blog post to describe the stories and situations a member of staff is likely to encounter there. The work is hectic and heartbreaking, especially for the nurses, who are there with the patients day and night. They are the first to receive them, and last to honour and prepare their mortal remains for their journey beyond this world. I have nothing but deep admiration and understanding for these professionals, they are some of the wisest, kindest and yes, funniest people I have worked with. There is vitality, strength and a no-nonsense approach which is, in my opinion, an essential skill set for someone who can do this difficult job well.
This is why my heart broke when I saw that even this most sacred of places was not spared the gender ideology nonsense. I suppose I should have expected this. After all, NHS England have disrespected patients in every environment, adults and children, men and women, those who have a hope of recovery and those who do not, by embedding self-identification in their policies, which is contrary to UK law and the basic privacy, safety and dignity that patients are entitled to in their hour of need.
I have redacted the name of the institution out of respect for the hard working and dedicated staff and in order to not cause distress to patients and their loved ones. But embedding gender ideology in the policies relevant to this area of medicine is a dangerous departure from medical ethics and light needs to be shone on this issue.
So without further ado, here are the screenshots of the Equality and Diversity Policy for one UK hospice:
Pages 1 and 2
The policy starts off by replacing protected characteristic of “sex” with “gender” which is not only NOT a protected characteristic, but it is also not clearly defined in UK law.
UK law, and specifically the Equality Act 2010, defines “woman” as a “female of any age” and “man” as a “male of any age”, while “gender” is usually understood to be a social construction relating to behaviours and attributes consistent with stereotypes of masculinity and femininity.
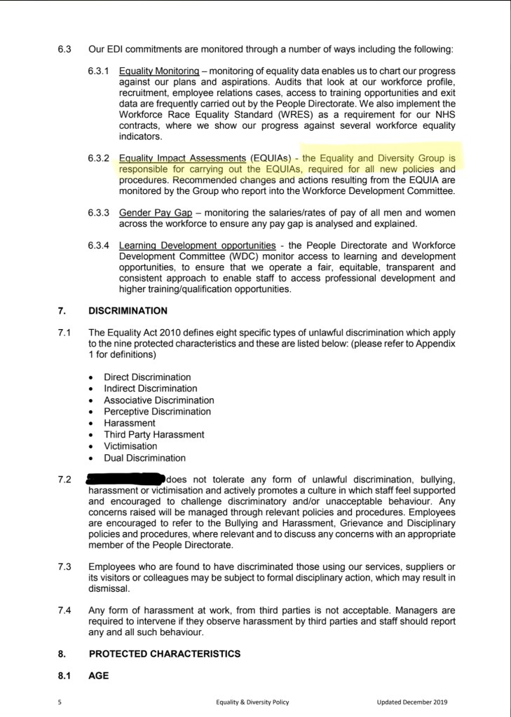
Page 2 specifies the The Director of People & Organisational Development as a responsible person for Equality and Diversity issues as relating to staff and The Equality and Diversity Group as responsible for implementing and overseeing this as well as completing an Equality Impact Assessment, which is given a date of October 2020. Since the document appears to have been updated in December 2019 it is not clear whether the EQIA actually took place, or was it just scheduled to take place at a future date.
This policy is also to be applied across all sites and to all employees, and “All staff are responsible for ensuring that this policy is embedded and adhered to. To help facilitate this, the organisation’s equality and diversity statement is incorporated into all job descriptions as they are updated. Any behaviours, actions and/or words which seek to transgress this policy will be managed under the organisation’s formal policies and procedures.”
Pages 3 and 4
Page 3 invokes the Equality act which allows discrimination where single-sex services and facilities are required. It states that a “Genuine Occupational Requirement (GOR) can be applied by an employer if it can objectively justify that the requirement to discriminate against one of the protected characteristics is a ‘proportionate means of achieving a legitimate aim’. The GOR currently relevant to [the hospice] enables us to advertise for either male or female care workers, depending on patient/service user need.“
Page 4 claims that this policy has been impact assessed (without offering any insight into the impact of this policy on various protected characteristics) and it continues to misrepresent protected characteristics by replacing “sex” with “gender”. It also informs the reader that they “continue to partner with external diversity partners for expert advice on ensuring [they] remain an inclusive employer of choice“.
Page 5 and 6
Page 6 applies the exemptions under the EA2010 in relation to the protected characteristic of Age, and it outlines a comprehensive policy aimed at reducing workplace discrimination on the basis of disability.
Page 7 and 8
Page 7 helpfully states that the hospice “expects all staff to be tolerant and show respect towards those who have religious beliefs as well as to those who do not” however on page 8 they demonstrate that their “Sex Discrimination” policy is written on “basis of “Gender“. They do make a provision for GOR by saying that they would “normally proceed on the basis that no genuine occupational requirement (GOR) exists with the exception of the need to recruit male/female care workers” but advise to “Always refer to the People Directorate for advice.“
Page 8 also introduces “Gender reassignment” by using the terms “transgender”, “gender identity” and “assigned sex” none of which are defined in UK law.
Sex is determined by the fusion of gametes at conception, it can be detected in utero by a variety of methods, it is observed at birth with 99.98% accuracy and it cannot be changed by any known medical procedure.
The practice of “assigning sex” was associated with operating on babies who were born with disorders of sex development. This practice has now fallen out of favour as unethical, so this terminology is in no way applicable to the population of normally sexed adults who identify as transgender. However, this phrase is commonly used by both external agencies and internal EDI teams who are tasked with embedding gender ideology into institutional policies (including across the NHS).
“Transgender” is another term which is not defined in UK law. However, various lobby groups such as Stonewall UK define a Transgender umbrella” to include crossdressers, drag queens, masculine women, feminine men, men who identify as women, women who identify as men and anyone who doesn’t conform to gender stereotypes 100% of the time.

Page 9
It is therefore not clear what the authors of this policy are referring to when they say, on Page 9, that “Transgender is also an umbrella term covering men and women and is sometimes termed transsexual if they seek medical assistance to support their transition.”
Are they saying that anyone who identifies as a woman is a woman?
Do they consider men, women, males, females self-identified “genders” rather than biological sexes, as their consistent replacement of the protected characteristic of “sex” with “gender” seems to indicate?
What effect does this have on the Genuine Occupational Requirement to hire male or female staff?
Are patients afforded access to single-sex facilities and services, or is this not ensured due to prioritising gender identity over biological sex in staffing policies?
The rest echoes Stonewall-led policies seen elsewhere, such as at the MET and MoJ, by allowing employees who identify as transgender to keep the information about their biological sex “private” (ie. to not disclose their biological sex to other staff or patients), to compel others to use their preferred pronouns (including “he”, “she” or “they”), to warn that using transgender staff member’s sex-based pronouns “will not be tolerated” and that anyone who breaches this policy would be “treated in a serious manner and dealt with under bullying and harassment policy and disciplinary procedure“.
It also advises that “Trans or non-binary staff will never be asked to use accessible or unisex facilities” (the implication being that they are free to use the facilities reserved for the opposite sex, if they wish) and that these staff will be provided with the “uniform that corresponds to their “gender identity”“.

I would be interested to see the Equality Impact Assessment that has allegedly been completed in October 2020 by The Equality and Diversity Group, and how they justified this policy and its impact on other protected characteristics such as Sex, Age and Religion/Belief.
Patients of both sexes not only typically require staff of the same sex to deliver intimate care – something that is commonplace in healthcare settings – but this is guaranteed to them both by the NHS Pledge and CQC Guidance to Providers. Not to mention that older and religious patients – and especially women – would have additional reasons and concerns about being compelled to receive intimate care by someone of the opposite sex.
Reassuringly, the staff member who shared this policy with me said:
“In reality the admissions team are a sensible bunch and I very much doubt they would mix a ward. We only have a few small multi bedded bays the rest are single rooms. If the bay is empty then the first patient admitted determines the sex of the bay until it is empty again.
If a trans person applied for admission they would more than likely be given a single room. The safety and comfort of patients is always a priority.
The policy is a Stonewall mess and even though I truly believe the actual staff would take a sensible approach – someone on a mission could use that policy to compromise the Hospice. Not to mention it is so heavily biased – the other protected characteristics get a one liner while gender identity has pages dedicated to it!
Equality and diversity at the moment is rightly focussed on BAME and the gender identity issues are not in focus. The hospice always has a space with Hospice UK at PRIDE and there are a good mix of sexualities on staff. There was a trans-identified male employee whose attitude was quite passive aggressive and I have suspicions the policy was rewritten with their help. The trans-identified male started to present as female after being employed for a while, it wasn’t discussed or announced so there were more than a few foot in mouth moments.”
ADDENDUM:
Since this post was published, I received a confidential message that might clarify how hospices come to implement these policies:
“I work in a hospice. They signed up to online trading. The package used “gender” instead of “sex” throughout, including claiming it was a protected characteristic. I contacted the company but got no reply. In my experience Hospices are incredibly conservative in that they are terrified of rocking the boat and sticking their necks out. Hospices are funded almost entirely by charity so will not risk upsetting anyone. Not even local authorities when they treat families badly.”








Thank you for this detailed assessment of someone reaching out to you. I am having to raise the same and similar issues at an NHS teaching hospital, currently, and am extremely nervous. The NHS is ignoring the law, which takes precedence over policy. They are so afraid of the trans community. I have to post anonymously.
LikeLiked by 1 person
I have no words to describe my disappointment in the NHS management for having allowed this capture to get so bad. I’m so sorry you are having to object this anonymously. Most colleagues who are still working are scared.
LikeLike